TDI CLIMATOLOGY
VNE 544 ECR2 Asbury Park NJ Shore Landing
Latitude: 40.23 N Longitude: 73.97 W
May
[ TDI Sea State ] [ TDI Climatology ]

[ March ] [ April ] [ May ] [ June ] [ July ] [ August ] [ September ] [ October ] [ November ]









Summary
Weather Days
Overall Survey PC JPC
Scatter Plot
Wind & Wave Record
Wave Heights
Probability Rose Regional
Wave Periods
Probability Rose Regional
Wind Speed
Probability Rose Regional
Currents
Probability Rose Regional
Orange Crush
All Graphics
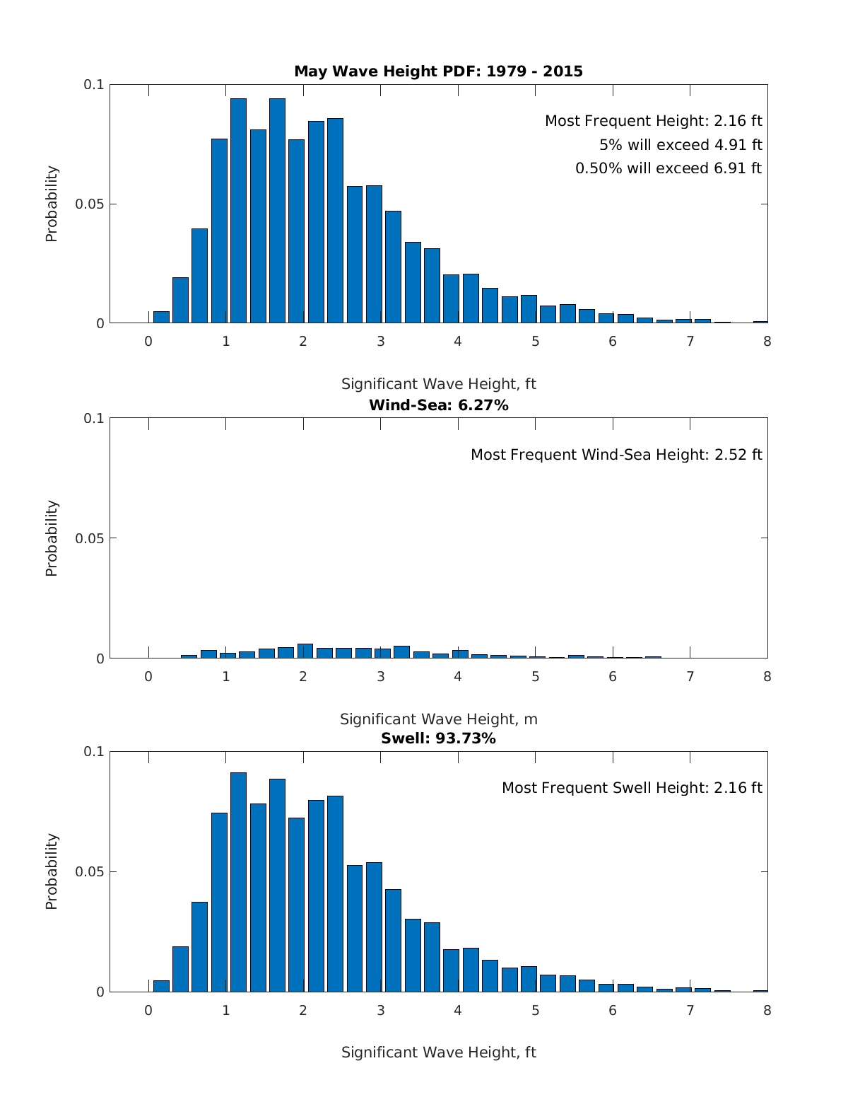
Wave Height Probability Distribution
Left click on the figure to download a pdf version